Открытие квантовых закономерностей
Открытие квантовых закономерностей
http://www.inauka.ru/phisic/article60543.html
Открытие
квантовых закономерностей и построение квантовой теории явились не
только одним из вершинных достижений физики XX века, но и
существенным общекультурным явлением.
Квантовые переходы, соотношение неопределенностей, квантование энергии, вероятностная трактовка многих законов физики - все это уже прочно вошло в школьные учебники физики. Но есть еще один - логический - аспект квантовой теории, который присутствует в анализе любого эксперимента и любого изложения квантовой теории, но все же по большей части остается на втором плане, как бы в тени, не всегда явно выделяется, хотя именно этот логический аспект, на мой взгляд, имеет наибольшее общекультурное значение и является одним из самых поразительных достижений человеческой мысли в области рационального (научного) знания.
Как известно, законы логики, то есть законы, по которым строит умозаключения наш мозг, были открыты Аристотелем (384-322 до н.э.) более двух тысяч лет назад. Открытие этих законов было эпохальным событием в интеллектуальной жизни человечества, и ему предшествовала многолетняя дискуссия научно-философских школ Евклида и Аристотеля. Здесь неуместно останавливаться на деталях аристотелевой (классической) логики. Однако подчеркнем ее некоторые особенности. Например, одна из особенностей состоит в том, что аристотелева логика является двузначной. Это означает, что в ней справедлив закон исключенного третьего, а именно на каждый "разумный простой" вопрос может быть дан лишь один из двух возможных ответов "да" или "нет". Я не буду уточнять смысл слов "разумный" и "простой", считая его ясным для читателя. Другая особенность может быть сформулирована так: если какой-то "сложный" объект (целое) может быть построен из более "простых" объектов (частей), то говорят, что целое состоит из своих частей и целое не сводится к какой-то своей части, если этих частей более одной.
Ниже мы отметим другие логические детали, связанные со спецификой физических явлений.
ОБ ИНТЕРПРЕТАЦИЯХ КЛАССИЧЕСКОЙ И КВАНТОВОЙ ТЕОРИЙ
Удивительным образом классическая физика, возникшая почти через две тысячи лет после Аристотеля, не только не поколебала, но и упрочила позиции аристотелевой логики. Оказалось, что поведение классических объектов подчиняется законам классической логики. Например, на "простые и разумные" вопросы всегда можно ограничиться ответами "да" или "нет": находится ли данная материальная точка в данном месте? - только две возможности: "находится, то есть да", "не находится, то есть нет"; имеет ли тело такой-то импульс? - "да, имеет", либо "нет, не имеет"; являются ли системы B и C частями системы A? - "да, являются", либо "нет, не являются". Примеры можно множить до бесконечности, и читатель сам без труда может их привести. Даже открытие релятивистской физики (специальной и общей теории относительности) не пошатнуло позиции аристотелевой логики. В специальной теории относительности свойства пространства и времени весьма необычны (скорее непривычны), отличаются от самоочевидных свойств, постулированных еще Ньютоном. Но эта необычность свойств логически неотвратимо вытекает из ответа на "простой" вопрос, конечна или бесконечна максимально возможная скорость передачи взаимодействий в природе. Если бесконечна, то Ньютон и Галилей правы, если конечна, то правы Лоренц, Пуанкаре и Эйнштейн. Опыт однозначно указывает на правоту последних. Аристотелева же логика торжествует в обеих теориях безраздельно. Как в механике Ньютона, так и в электромагнитной теории Фарадея-Максвелла господствуют строгая причинность и лапласовский детерминизм (начальные (и, может быть, граничные) условия полностью определяют все детали поведения физических систем во времени). Вероятность (неопределенность поведения системы) характеризует лишь способ описания, когда неизвестны какие-то детали процесса, возникающие, например, в статистической физике. Убеждение, что физические системы живут по законам аристотелевой логики, казалось самоочевидным и не требующим каких-то дополнительных аргументов.
Квантовая теория в корне изменила эту ситуацию, и это одно из важнейших научных достижений, но даже в специальных курсах квантовой механики об этом говорится вскользь либо вообще не упоминается. Причина такого забвения логического аспекта теории, на мой взгляд, весьма парадоксальна. В классической механике основными понятиями являются материальные точки и тела как системы материальных точек. Материальные точки движутся по траекториям - идеальным объектам математического анализа. Вся многообразная жизнь материальных точек, материальных тел, законы их взаимодействия и математический способ описания этой жизни идеально укладываются в лоно аристотелевой логики.
Для формулировки основных положений квантовой теории, явившихся теоретическим обобщением результатов многочисленных экспериментов, нужна более изощренная математика, без этой математики здесь не удается обойтись (одна из самых успешных попыток изложить основы квантовой теории с минимумом математических средств была предпринята Давидом Бомом в частях I и VI его монографии), а при строгой формулировке математика уровня функционального анализа неизбежна. Но после того как основные положения квантовой теории записаны в адекватной математической форме, вообще можно обойтись без какой-либо физической интерпретации этой математической формы, включая и сами исходные положения. Манипуляции с математически хорошо определенными объектами (это относится к квантовой механике полностью, но лишь частично к квантовой теории поля) приводят к теоретическому получению численных значений тех или иных величин, с высокой точностью соответствующих реальному эксперименту. Поэтому можно вообще не понимать (один из выдающихся физиков XX века и знаток квантовой теории Р. Фейнман неоднократно утверждал, что квантовую механику никто не понимает) квантовую теорию, то есть игнорировать любые ее возможные интерпретации, и не только успешно ее применять, но и получать в этой области новое теоретическое знание. За то, что ситуация именно такова, говорит и следующее. Интерпретация классической механики единственна и наглядна: всякая механическая система есть набор материальных точек, движущихся каждая по своей траектории. Ни наличие связей в системе, ни число точек в ней этой интерпретации не меняют. Например, введение в классике статистического описания предполагает, что к картине системы частиц всегда можно вернуться. Иными словами, эта интерпретация является внутренним свойством классической механики, следует из ее основных постулатов.
Иное дело в квантовой механике. Известно большое число существенно различных ее интерпретаций (с некоторыми из этих интерпретаций и общими проблемами интерпретации квантовой механики можно познакомиться по книгам). Эти интерпретации разработаны в различной степени, но нет доказательств, что справедлива только одна из них, а другие неверны. Это означает, что физическая интерпретация квантовой механики в самой квантовой механике не заложена и не является ее внутренним свойством. Конечно, каждый физик как субъект, изучающий квантовую механику, вольно или невольно либо присоединяется к какой-то ему знакомой интерпретации, либо вносит в интерпретацию что-то свое, но это свое, особое, не общепринятое нисколько не мешает его профессиональной деятельности и профессиональному общению.
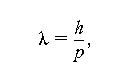
Все парадоксы поведения частиц в квантовой теории весьма успешно объясняются так называемым корпускулярно-волновым дуализмом. Впервые понятие корпускулярно-волнового дуализма возникло в начале нашего века в оптике при изучении явлений фотоэффекта и позже эффекта Комптона. В 1923 году Луи де Бройль выдвинул гипотезу, что всякий материальный объект обладает как корпускулярными, так и волновыми свойствами, причем импульс частицы p и длина соответствующей волны l связаны соотношением
где h - постоянная Планка. Для макрочастиц длина волны де Бройля в реальных ситуациях всегда мала (для частицы массой 1 г, движущейся со скоростью 1 м/c, имеем λ ~ 10-18 А) и волновые свойства макрочастиц практически не проявляются. Но, например, для электрона с энергией ~10 эВ получим λ ~ 1 А, что по порядку величины сравнимо с размерами кристаллической ячейки типичных кристаллов. Следовательно, микрочастицы должны одновременно проявлять волновые и корпускулярные свойства, что делает невозможной классическую картину движения, причем это справедливо для любых микрообъектов, а не только для электронов.
АНАЛИЗ ЯВЛЕНИЯ ДИФРАКЦИИ ЭЛЕКТРОНОВ И НЕАРИСТОТЕЛЕВА ЛОГИКА ПОВЕДЕНИЯ КВАНТОВЫХ ОБЪЕКТОВ
Думаю, что описанная выше ситуация связана с логическим аспектом квантовой механики. А именно, квантовая теория с неизбежностью приводит к выводу, что квантовая реальность живет не по законам аристотелевой логики, логика ее жизни другая, неаристотелева, и это находит адекватное отражение в формальном аппарате теории. А интерпретация, то есть физическое понимание, неизбежно связана с построением всей картины или ее части, живущей по законам аристотелевой (читай: человеческой) логики. Эту ситуацию очень хорошо выразил Л.Д. Ландау: "...в теоретической физике нам удается понять то, что мы уже не можем себе представить".
Для демонстрации того, что аристотелева логика не является логикой поведения квантовых объектов, рассмотрим хорошо известное явление дифракции электронов, открытое К.Дж. Дэвиссоном, Джермером и Дж.П. Томсоном в 1927 году (Нобелевская премия 1937 года). Мы проанализируем здесь идеальную схему эксперимента, то есть рассмотрим идеальную модель. Реальный эксперимент всегда отличается от идеальной модели. Наиболее близкий к рассматриваемой идеальной схеме эксперимент был выполнен в 1949 году Л.М. Биберманом, Н.Г. Сушкиным, В.А. Фабрикантом.
Пусть у нас есть плоский непрозрачный для электронов экран. В этом экране проделаны два одинаковых отверстия. Форма отверстий несущественна, например мы будем считать их круглыми диаметром r. Расстояние между центрами отверстий l > r, так что эти отверстия не перекрываются. На некотором расстоянии L от этого экрана параллельно ему находится другой плоский экран, способный фиксировать места попадания электронов. Например, если это телевизионный экран, то в месте попадания электрона происходит точечная вспышка света. Будем считать, что поверхность второго экрана покрыта фотоэмульсией, то есть является фотопленкой, и если после проведения эксперимента мы проявим эту фотопленку, в местах попадания электронов возникнут различимые точки (точечные почернения). Будем считать, что у нас есть способ определить в каждом месте второго экрана плотность точек (число точек на единицу площади), например профотометрировать проявленную пленку, и тем самым определить плотность суммарного электронного потока в каждом месте второго экрана. Пусть имеется источник электронов, находящийся достаточно далеко от первого экрана и посылающий перпендикулярно этому экрану равномерный по плотности в месте нахождения отверстий поток электронов. Наилучшие результаты эксперимента достигаются, если параметры l и r сравнимы с дебройлевской длиной волны частицы, что определяет как конструкцию экспериментальной установки, так и возможную энергию электронов. Те электроны, которые не попадут в отверстия на первом экране, будут им задержаны. Прошедшие через отверстия достигнут второго экрана и оставят в месте своего попадания точечный след на фотопленке.
Проведем плоскость, перпендикулярную плоскостям первого и второго экранов и проходящую через центры отверстий. На этой плоскости выберем систему координат (рис. 1 и 2) так, чтобы ось x совпадала с линией пересечения со вторым экраном, ось y проходила через середину расстояния между центрами отверстий. Чтобы исключить возможность влияния различных электронов в потоке друг на друга, выберем такой источник электронов, который испускает электроны редко, по одному, и интервал между вылетами из источника отдельных электронов заведомо больше, чем их время пролета от источника до второго экрана. Иными словами, создадим такие условия, что в любой момент времени между источником и вторым экраном будет не более одного электрона. Более того, можно модифицировать эксперимент, изготовив второй экран так, чтобы вместо фотопленки фиксировались точечные вспышки света (сцинтилляции). Тогда можно не только зафиксировать места попадания электронов на второй экран, но и занумеровать точки попадания, отметив тем самым их временной порядок следования. Впрочем, в такой модификации реальный эксперимент не проводился, хотя никаких сомнений в его возможности нет.
Длительность эксперимента должна быть такой, чтобы после его окончания и проявления фотопленки ее можно было надежно профотометрировать (то есть число точечных почернений должно быть достаточно большим). Будем, например, определять степень почернения фотопленки, то есть интенсивность прошедшего через отверстие электронного потока вдоль узкой полосы в малой окрестности оси x. Величину интенсивности электронного потока в подходящем масштабе будем откладывать по оси y. Проведем сначала эксперимент при условии, что открыто только одно отверстие (левое на рис. 1), а другое (правое) закрыто. Тогда график плотности прошедшего через левое отверстие и попавшего на второй экран потока электронов в зависимости от x изображается левой кривой на рис. 1. Плавный переход от света к тени вблизи краев левого отверстия может быть предположительно объяснен взаимодействием электронов с краем экрана, мимо которого они пролетают (хотя и здесь ситуация не столь проста).
Аналогичный результат мы получим, если закроем левое отверстие, а откроем правое. Соответствующий график плотности электронного потока изображается правой кривой на рис. 1.
Но если оба отверстия открыты, то график плотности электронного потока не является простой суммой графиков правой и левой частей рис. 1, а имеет вид, изображенный на рис. 2. Подобная, как говорят, дифракционная картина, встречается в опытах при прохождении световых (акустических или других волновых) импульсов через рассматриваемые отверстия. Она объясняется в школьных учебниках и научных монографиях с помощью понятия интерференции волн. А именно, оба отверстия рассматриваются как источники волн, приходящих в заданную точку второго экрана. В каждой точке второго экрана происходит сложение с учетом амплитуды и фазы всех пришедших одновременно волн и результирующая амплитуда (не равная алгебраической сумме амплитуд) определяет интенсивность суммарной волны в данном месте. В этом смысле говорят о том, что электрон обладает волновыми свойствами (что, безусловно, правильно и следует из квантовой теории).
Но весьма существенным в объяснении дифракции волн является рассмотрение правого и левого отверстий как одновременно действующих источников волн. В нашем же случае, попадая на второй экран, электрон оставляет на нем след в виде точки. Конечно, у этой точки есть реальные размеры, зависящие не только от реального размера электрона как частицы, но и от свойств, например, фотоэмульсии на втором экране. Но всегда можно провести опыт так, чтобы эти реальные размеры были намного меньше размеров отверстий на первом экране и, следовательно, много меньше дебройлевской длины волны частицы; и мы с полным основанием можем говорить о месте попадания электрона на второй экран как о точке. Этот след в виде точки на втором экране возникает независимо от расстояния L между первым и вторым экраном и, следуя нашей человеческой логике, всегда имеется возможность узнать относительно каждого электрона, через какое отверстие он прошел. Иными словами, все электроны могут быть разбиты на две группы: в первую группу отнесем электроны, прошедшие через левое отверстие, во вторую - через правое. Руководствуясь далее нашей логикой, можно утверждать, что электроны первой группы во время прохождения от источника до второго экраны не могли знать что-либо о том, открыто или закрыто правое отверстие. Они через него не проходили, для них существует только левое отверстие, и они должны вести себя одинаково вне зависимости от того, открыто правое отверстие или нет. Аналогичные рассуждения можно с позиций нашей логики провести относительно второй группы электронов. И все же результат эксперимента однозначно говорит о том, что эти рассуждения неверны и электрон, проходя через левое отверстие, все же знает, открыто правое или закрыто, ибо он ведет себя по-разному в зависимости от этого.
Результат эксперимента ясно и четко демонстрирует (в одном эксперименте) наличие корпускулярных и волновых свойств у электрона. Но он демонстрирует и то, что на "простой и разумный" вопрос о том, проходил ли данный электрон через левое отверстие, невозможно дать один из ответов - "да" или "нет". Более того, мы можем озаботиться специально ответом на этот вопрос и у одного отверстия (или у обоих) поставить приспособление для получения ответа "да" или "нет". Но тогда, как вытекает из квантовой механики, изменится и сама интерференционная картина. Это связано с тем, что всякая реальная попытка получить ответ на поставленный вопрос неизбежно связана с воздействием на электрон, и квантовая теория говорит, что величина этого воздействия не может быть сколь угодно мала, как это предполагает классическая физика. Иными словами, наличие экспериментатора (понимаемого и как субъект и как объект в виде экспериментальной установки) вносит во всякое квантовое явление неустранимые следы, а логика развития событий в квантовой реальности неаристотелева. Адекватность теоретического описания реальности обеспечивается формальным аппаратом, аксиоматика которого и правила действий могут быть изложены в рамках аристотелевой логики, но получаемая картина событий уже в эти рамки не помещается.
ВЗАИМОПРЕВРАЩАЕМОСТЬ ЭЛЕМЕНТАРНЫХ ЧАСТИЦ И ЛОГИКА ИХ ПОВЕДЕНИЯ.
О СООТНОШЕНИИ ЧАСТИ И ЦЕЛОГО В КВАНТОВОЙ ТЕОРИИ
Еще в 30-х годах XX века физики достаточно детально разобрались в явлении спонтанного распада свободного нейтрона. Это явление хорошо описано во всех школьных учебниках. Суть его состоит в том, что свободный нейтрон (в настоящее время наиболее распространенным источником свободных нейтронов являются ядерные реакторы) за небольшое время (в среднем 10-15 мин) самопроизвольно распадается на протон (положительно заряженная частица), электрон (имеет отрицательный электрический заряд, по величине в точности равный заряду протона) и антинейтрино (частица, не имеющая заряда и, по-видимому, не имеющая массы покоя). Этот процесс носит название бета-распада нейтрона. С точки зрения классической физики и аристотелевой логики электрон и протон следует рассматривать как составные части нейтрона, а нейтрино можно приписать роль поля, связывающего электрон и протон в нейтроне и освободившегося в момент распада. Но вот другой эксперимент. Организуем столкновение протонов высокой энергии друг с другом (это возможно в настоящее время на сверхмощных современных ускорителях). В таком столкновении возникают новые различные элементарные частицы, в том числе и нейтроны! Аналогично можно сталкивать пучки различных частиц, и в результате этих столкновений обнаруживаются все возможные элементарные частицы. Собственно, подавляющая часть известных элементарных частиц именно таким способом и была открыта. Один из выводов, к которым приводят эксперименты такого типа, состоит в том, что в столкновениях любых элементарных частиц в определенных условиях возникают (чаще употребляется термин "рождаются") любые другие элементарные частицы. Это, несомненно, свидетельствует о том, что имеется общая основа (единое поле) строения всех частиц.
Следует отметить и другой аспект этих экспериментов. Поскольку, например, в протонных столкновениях рождаются нейтроны - так что же, протон содержит в себе нейтрон?! Но ведь ранее утверждалось, что протон - часть нейтрона. Здесь уже проявляет себя логический аспект квантовой теории. Если в классической физике логика говорит нам, что целое состоит из своих частей, то в квантовой физике взаимоотношения между частью и целым могут не соответствовать канонам классической логики. Они более сложны и управляются другой логикой - квантовой. Наиболее правильным здесь было бы сказать, что благодаря наличию общей основы у всех частиц возможно взаимопревращение частиц друг в друга при определенных условиях. Именно здесь и реализуется идея Эйнштейна о том, что действительной сущностью материи является единое квантовое поле, а конкретные лики, состояния этого поля предстают перед нами в виде всего многообразия наблюдаемых частиц и полей, но логика поведения этого многообразия уже не является аристотелевой.
ПРИНЦИП ДОПОЛНИТЕЛЬНОСТИ Н. БОРА И ЛОГИКА КВАНТОВОЙ ТЕОРИИ
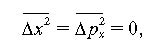
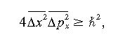
Принцип дополнительности был сформулирован Н. Бором в 1927 году. Непосредственным поводом к его формулировке послужило установление В. Гейзенбергом соотношений неопределенности. По существу первая редакция принципа дополнительности явилась прямым толкованием соотношений неопределенности для координат и импульсов и состояла в следующем.
Определение любой физической величины всегда связано (явно или неявно) с указанием на способ экспериментального измерения этой величины. Например, если мы характеризуем материальную точку ее координатами в заданный момент времени и принимаем классическую (ньютоновскую) картину мира с ее законами движения в форме обыкновенных дифференциальных уравнений, то мы вынуждены постулировать существование производной по времени от функции x(t). Но тогда неизбежно и существование (и возможность измерения) импульса px(t). В квантовой картине мира такое утверждение противоречиво, ибо, согласно неравенствам Гейзенберга
невозможно одновременное равенство
необходимое для существования (и измерения в момент времени t) x(t) и px(t). Тем самым в квантовой картине одновременно x(t) и px(t) не существуют. Одновременно соотношения неопределенности являются прямым доказательством неаристотелевой логики поведения квантовой частицы, ибо не существует удовлетворительных ответов (в виде "да" или "нет") на простые вопросы: находится ли частица в данном месте, имеет ли частица данный импульс (скорость)? Подробнее об этом можно узнать из статей.
Именно такова и была по существу первая формулировка принципа дополнительности Н. Бора: поскольку операторы сопряженных физических величин не коммутируют друг с другом, то смысл неравенств Гейзенберга сводится к утверждению о несуществовании одновременно данных физических величин. Если одна из таких величин определена точно, то другая величина полностью не определена, если же указан интервал разброса возможных значений одной величины, то автоматически определен возможный минимальный интервал разброса значений другой. Единая классическая картина как бы распадается на две в точном смысле несовместимые (дополнительные) картины, относящиеся к разным сторонам описания реальности.
Последовала многолетняя дискуссия Н. Бора и А. Эйнштейна, в которой идеи квантовой теории выдержали суровую проверку критически настроенного Эйнштейна. В исходной формулировке Бора логический аспект принципа дополнительности явно не присутствовал, был скрыт. Однако затем стало ясно, что принцип дополнительности допускает многообразие формулировок. Например, одну из его смысловых сторон можно выразить следующим образом: в классической теории вся материя четко разделена на вещество (частицы) и поле. Основным признаком частиц является их локализация (материальная точка в данный момент времени имеет определенные координаты). Принципиально поле локализации не допускает (возможность рассмотрения частиц как особых точек поля лишь подчеркивает несовместимость чисто корпускулярной и чисто волновой картины явлений в классической физике, живущей по законам аристотелевой логики). В квантовой теории, напротив, согласно гипотезе де Бройля и принципу дополнительности, каждое явление не только допускает, но и требует описания как на языке поля (волны), так и на языке частиц, но по отдельности описания на языке волн (поля) и на языке частиц не являются полными (дополнительными). Только совместное (по классике несовместимое!) описание, заложенное в формальном математическом аппарате квантовой теории, является полным, адекватным физической реальности.
Здесь уже ясно виден логический аспект принципа дополнительности: логически несовместимое в классике допускает совмещение в квантовой картине. Но это и означает наличие другой, неклассической логики, по которой живет квантовый (реальный!) мир.
Квантовая теория однозначно приводит к выводу о том, что Природа живет и действует по гораздо более сложной логике, чем аристотелева логика мышления человека. Сам человеческий организм как сложнейшая квантовая система живет совсем не по той логике, по которой он мыслит. Мне представляется, что открытие этого факта есть одно из самых поразительных достижений науки. Это, без сомнения, есть одно из общекультурных достояний всего человечества. В частности, это означает, что построение наглядной полной картины мира невозможно - наглядность для человека может быть реализована лишь в рамках его собственной логики мышления. Успешное построение квантовой картины мира теоретической мыслью человека свидетельствует о том, что человек в состоянии понять мир, живущий по законам другой, нечеловеческой (Божественной?) логики.
Но почему же физики до сих пор описывают микромир макроскопическими понятиями? На мой взгляд, имеются две разнородные причины. Одна - мы не умеем наблюдать микропроцессы иначе как используя макроскопические приборы (соотношения неопределенности выступают здесь как плата за использование макропонятий в микромире). Другая - никаких других логических понятий, кроме тех, что приемлет наша логика (аристотелева), нам в мышлении не дано. И только на их языке мы можем изъясняться, даже если понимаем неаристотелеву логику природы.
Автор признателен профессору Н.Б. Делоне за стимулирующие замечания по этой работе.
Рецензент статьи Н.Б. Делоне
* * *
Владислав Гавриилович Багров, доктор физико-математических наук, физик-теоретик, профессор, зав. кафедрой квантовой теории поля физического факультета Томского государственного университета. Область научных интересов - классическая и квантовая электродинамика, квантовая механика, общая теория относительности, математическая физика. Автор более 350 научных работ, в том числе двух монографий и трех учебных пособий.
Источник: Соросовский Образовательный Журнал
Квантовые переходы, соотношение неопределенностей, квантование энергии, вероятностная трактовка многих законов физики - все это уже прочно вошло в школьные учебники физики. Но есть еще один - логический - аспект квантовой теории, который присутствует в анализе любого эксперимента и любого изложения квантовой теории, но все же по большей части остается на втором плане, как бы в тени, не всегда явно выделяется, хотя именно этот логический аспект, на мой взгляд, имеет наибольшее общекультурное значение и является одним из самых поразительных достижений человеческой мысли в области рационального (научного) знания.
Как известно, законы логики, то есть законы, по которым строит умозаключения наш мозг, были открыты Аристотелем (384-322 до н.э.) более двух тысяч лет назад. Открытие этих законов было эпохальным событием в интеллектуальной жизни человечества, и ему предшествовала многолетняя дискуссия научно-философских школ Евклида и Аристотеля. Здесь неуместно останавливаться на деталях аристотелевой (классической) логики. Однако подчеркнем ее некоторые особенности. Например, одна из особенностей состоит в том, что аристотелева логика является двузначной. Это означает, что в ней справедлив закон исключенного третьего, а именно на каждый "разумный простой" вопрос может быть дан лишь один из двух возможных ответов "да" или "нет". Я не буду уточнять смысл слов "разумный" и "простой", считая его ясным для читателя. Другая особенность может быть сформулирована так: если какой-то "сложный" объект (целое) может быть построен из более "простых" объектов (частей), то говорят, что целое состоит из своих частей и целое не сводится к какой-то своей части, если этих частей более одной.
Ниже мы отметим другие логические детали, связанные со спецификой физических явлений.
ОБ ИНТЕРПРЕТАЦИЯХ КЛАССИЧЕСКОЙ И КВАНТОВОЙ ТЕОРИЙ
Удивительным образом классическая физика, возникшая почти через две тысячи лет после Аристотеля, не только не поколебала, но и упрочила позиции аристотелевой логики. Оказалось, что поведение классических объектов подчиняется законам классической логики. Например, на "простые и разумные" вопросы всегда можно ограничиться ответами "да" или "нет": находится ли данная материальная точка в данном месте? - только две возможности: "находится, то есть да", "не находится, то есть нет"; имеет ли тело такой-то импульс? - "да, имеет", либо "нет, не имеет"; являются ли системы B и C частями системы A? - "да, являются", либо "нет, не являются". Примеры можно множить до бесконечности, и читатель сам без труда может их привести. Даже открытие релятивистской физики (специальной и общей теории относительности) не пошатнуло позиции аристотелевой логики. В специальной теории относительности свойства пространства и времени весьма необычны (скорее непривычны), отличаются от самоочевидных свойств, постулированных еще Ньютоном. Но эта необычность свойств логически неотвратимо вытекает из ответа на "простой" вопрос, конечна или бесконечна максимально возможная скорость передачи взаимодействий в природе. Если бесконечна, то Ньютон и Галилей правы, если конечна, то правы Лоренц, Пуанкаре и Эйнштейн. Опыт однозначно указывает на правоту последних. Аристотелева же логика торжествует в обеих теориях безраздельно. Как в механике Ньютона, так и в электромагнитной теории Фарадея-Максвелла господствуют строгая причинность и лапласовский детерминизм (начальные (и, может быть, граничные) условия полностью определяют все детали поведения физических систем во времени). Вероятность (неопределенность поведения системы) характеризует лишь способ описания, когда неизвестны какие-то детали процесса, возникающие, например, в статистической физике. Убеждение, что физические системы живут по законам аристотелевой логики, казалось самоочевидным и не требующим каких-то дополнительных аргументов.
Квантовая теория в корне изменила эту ситуацию, и это одно из важнейших научных достижений, но даже в специальных курсах квантовой механики об этом говорится вскользь либо вообще не упоминается. Причина такого забвения логического аспекта теории, на мой взгляд, весьма парадоксальна. В классической механике основными понятиями являются материальные точки и тела как системы материальных точек. Материальные точки движутся по траекториям - идеальным объектам математического анализа. Вся многообразная жизнь материальных точек, материальных тел, законы их взаимодействия и математический способ описания этой жизни идеально укладываются в лоно аристотелевой логики.
Для формулировки основных положений квантовой теории, явившихся теоретическим обобщением результатов многочисленных экспериментов, нужна более изощренная математика, без этой математики здесь не удается обойтись (одна из самых успешных попыток изложить основы квантовой теории с минимумом математических средств была предпринята Давидом Бомом в частях I и VI его монографии), а при строгой формулировке математика уровня функционального анализа неизбежна. Но после того как основные положения квантовой теории записаны в адекватной математической форме, вообще можно обойтись без какой-либо физической интерпретации этой математической формы, включая и сами исходные положения. Манипуляции с математически хорошо определенными объектами (это относится к квантовой механике полностью, но лишь частично к квантовой теории поля) приводят к теоретическому получению численных значений тех или иных величин, с высокой точностью соответствующих реальному эксперименту. Поэтому можно вообще не понимать (один из выдающихся физиков XX века и знаток квантовой теории Р. Фейнман неоднократно утверждал, что квантовую механику никто не понимает) квантовую теорию, то есть игнорировать любые ее возможные интерпретации, и не только успешно ее применять, но и получать в этой области новое теоретическое знание. За то, что ситуация именно такова, говорит и следующее. Интерпретация классической механики единственна и наглядна: всякая механическая система есть набор материальных точек, движущихся каждая по своей траектории. Ни наличие связей в системе, ни число точек в ней этой интерпретации не меняют. Например, введение в классике статистического описания предполагает, что к картине системы частиц всегда можно вернуться. Иными словами, эта интерпретация является внутренним свойством классической механики, следует из ее основных постулатов.
Иное дело в квантовой механике. Известно большое число существенно различных ее интерпретаций (с некоторыми из этих интерпретаций и общими проблемами интерпретации квантовой механики можно познакомиться по книгам). Эти интерпретации разработаны в различной степени, но нет доказательств, что справедлива только одна из них, а другие неверны. Это означает, что физическая интерпретация квантовой механики в самой квантовой механике не заложена и не является ее внутренним свойством. Конечно, каждый физик как субъект, изучающий квантовую механику, вольно или невольно либо присоединяется к какой-то ему знакомой интерпретации, либо вносит в интерпретацию что-то свое, но это свое, особое, не общепринятое нисколько не мешает его профессиональной деятельности и профессиональному общению.
Все парадоксы поведения частиц в квантовой теории весьма успешно объясняются так называемым корпускулярно-волновым дуализмом. Впервые понятие корпускулярно-волнового дуализма возникло в начале нашего века в оптике при изучении явлений фотоэффекта и позже эффекта Комптона. В 1923 году Луи де Бройль выдвинул гипотезу, что всякий материальный объект обладает как корпускулярными, так и волновыми свойствами, причем импульс частицы p и длина соответствующей волны l связаны соотношением
где h - постоянная Планка. Для макрочастиц длина волны де Бройля в реальных ситуациях всегда мала (для частицы массой 1 г, движущейся со скоростью 1 м/c, имеем λ ~ 10-18 А) и волновые свойства макрочастиц практически не проявляются. Но, например, для электрона с энергией ~10 эВ получим λ ~ 1 А, что по порядку величины сравнимо с размерами кристаллической ячейки типичных кристаллов. Следовательно, микрочастицы должны одновременно проявлять волновые и корпускулярные свойства, что делает невозможной классическую картину движения, причем это справедливо для любых микрообъектов, а не только для электронов.
АНАЛИЗ ЯВЛЕНИЯ ДИФРАКЦИИ ЭЛЕКТРОНОВ И НЕАРИСТОТЕЛЕВА ЛОГИКА ПОВЕДЕНИЯ КВАНТОВЫХ ОБЪЕКТОВ
Думаю, что описанная выше ситуация связана с логическим аспектом квантовой механики. А именно, квантовая теория с неизбежностью приводит к выводу, что квантовая реальность живет не по законам аристотелевой логики, логика ее жизни другая, неаристотелева, и это находит адекватное отражение в формальном аппарате теории. А интерпретация, то есть физическое понимание, неизбежно связана с построением всей картины или ее части, живущей по законам аристотелевой (читай: человеческой) логики. Эту ситуацию очень хорошо выразил Л.Д. Ландау: "...в теоретической физике нам удается понять то, что мы уже не можем себе представить".
Для демонстрации того, что аристотелева логика не является логикой поведения квантовых объектов, рассмотрим хорошо известное явление дифракции электронов, открытое К.Дж. Дэвиссоном, Джермером и Дж.П. Томсоном в 1927 году (Нобелевская премия 1937 года). Мы проанализируем здесь идеальную схему эксперимента, то есть рассмотрим идеальную модель. Реальный эксперимент всегда отличается от идеальной модели. Наиболее близкий к рассматриваемой идеальной схеме эксперимент был выполнен в 1949 году Л.М. Биберманом, Н.Г. Сушкиным, В.А. Фабрикантом.
Пусть у нас есть плоский непрозрачный для электронов экран. В этом экране проделаны два одинаковых отверстия. Форма отверстий несущественна, например мы будем считать их круглыми диаметром r. Расстояние между центрами отверстий l > r, так что эти отверстия не перекрываются. На некотором расстоянии L от этого экрана параллельно ему находится другой плоский экран, способный фиксировать места попадания электронов. Например, если это телевизионный экран, то в месте попадания электрона происходит точечная вспышка света. Будем считать, что поверхность второго экрана покрыта фотоэмульсией, то есть является фотопленкой, и если после проведения эксперимента мы проявим эту фотопленку, в местах попадания электронов возникнут различимые точки (точечные почернения). Будем считать, что у нас есть способ определить в каждом месте второго экрана плотность точек (число точек на единицу площади), например профотометрировать проявленную пленку, и тем самым определить плотность суммарного электронного потока в каждом месте второго экрана. Пусть имеется источник электронов, находящийся достаточно далеко от первого экрана и посылающий перпендикулярно этому экрану равномерный по плотности в месте нахождения отверстий поток электронов. Наилучшие результаты эксперимента достигаются, если параметры l и r сравнимы с дебройлевской длиной волны частицы, что определяет как конструкцию экспериментальной установки, так и возможную энергию электронов. Те электроны, которые не попадут в отверстия на первом экране, будут им задержаны. Прошедшие через отверстия достигнут второго экрана и оставят в месте своего попадания точечный след на фотопленке.
Проведем плоскость, перпендикулярную плоскостям первого и второго экранов и проходящую через центры отверстий. На этой плоскости выберем систему координат (рис. 1 и 2) так, чтобы ось x совпадала с линией пересечения со вторым экраном, ось y проходила через середину расстояния между центрами отверстий. Чтобы исключить возможность влияния различных электронов в потоке друг на друга, выберем такой источник электронов, который испускает электроны редко, по одному, и интервал между вылетами из источника отдельных электронов заведомо больше, чем их время пролета от источника до второго экрана. Иными словами, создадим такие условия, что в любой момент времени между источником и вторым экраном будет не более одного электрона. Более того, можно модифицировать эксперимент, изготовив второй экран так, чтобы вместо фотопленки фиксировались точечные вспышки света (сцинтилляции). Тогда можно не только зафиксировать места попадания электронов на второй экран, но и занумеровать точки попадания, отметив тем самым их временной порядок следования. Впрочем, в такой модификации реальный эксперимент не проводился, хотя никаких сомнений в его возможности нет.
Длительность эксперимента должна быть такой, чтобы после его окончания и проявления фотопленки ее можно было надежно профотометрировать (то есть число точечных почернений должно быть достаточно большим). Будем, например, определять степень почернения фотопленки, то есть интенсивность прошедшего через отверстие электронного потока вдоль узкой полосы в малой окрестности оси x. Величину интенсивности электронного потока в подходящем масштабе будем откладывать по оси y. Проведем сначала эксперимент при условии, что открыто только одно отверстие (левое на рис. 1), а другое (правое) закрыто. Тогда график плотности прошедшего через левое отверстие и попавшего на второй экран потока электронов в зависимости от x изображается левой кривой на рис. 1. Плавный переход от света к тени вблизи краев левого отверстия может быть предположительно объяснен взаимодействием электронов с краем экрана, мимо которого они пролетают (хотя и здесь ситуация не столь проста).
Аналогичный результат мы получим, если закроем левое отверстие, а откроем правое. Соответствующий график плотности электронного потока изображается правой кривой на рис. 1.
Но если оба отверстия открыты, то график плотности электронного потока не является простой суммой графиков правой и левой частей рис. 1, а имеет вид, изображенный на рис. 2. Подобная, как говорят, дифракционная картина, встречается в опытах при прохождении световых (акустических или других волновых) импульсов через рассматриваемые отверстия. Она объясняется в школьных учебниках и научных монографиях с помощью понятия интерференции волн. А именно, оба отверстия рассматриваются как источники волн, приходящих в заданную точку второго экрана. В каждой точке второго экрана происходит сложение с учетом амплитуды и фазы всех пришедших одновременно волн и результирующая амплитуда (не равная алгебраической сумме амплитуд) определяет интенсивность суммарной волны в данном месте. В этом смысле говорят о том, что электрон обладает волновыми свойствами (что, безусловно, правильно и следует из квантовой теории).
Но весьма существенным в объяснении дифракции волн является рассмотрение правого и левого отверстий как одновременно действующих источников волн. В нашем же случае, попадая на второй экран, электрон оставляет на нем след в виде точки. Конечно, у этой точки есть реальные размеры, зависящие не только от реального размера электрона как частицы, но и от свойств, например, фотоэмульсии на втором экране. Но всегда можно провести опыт так, чтобы эти реальные размеры были намного меньше размеров отверстий на первом экране и, следовательно, много меньше дебройлевской длины волны частицы; и мы с полным основанием можем говорить о месте попадания электрона на второй экран как о точке. Этот след в виде точки на втором экране возникает независимо от расстояния L между первым и вторым экраном и, следуя нашей человеческой логике, всегда имеется возможность узнать относительно каждого электрона, через какое отверстие он прошел. Иными словами, все электроны могут быть разбиты на две группы: в первую группу отнесем электроны, прошедшие через левое отверстие, во вторую - через правое. Руководствуясь далее нашей логикой, можно утверждать, что электроны первой группы во время прохождения от источника до второго экраны не могли знать что-либо о том, открыто или закрыто правое отверстие. Они через него не проходили, для них существует только левое отверстие, и они должны вести себя одинаково вне зависимости от того, открыто правое отверстие или нет. Аналогичные рассуждения можно с позиций нашей логики провести относительно второй группы электронов. И все же результат эксперимента однозначно говорит о том, что эти рассуждения неверны и электрон, проходя через левое отверстие, все же знает, открыто правое или закрыто, ибо он ведет себя по-разному в зависимости от этого.
Результат эксперимента ясно и четко демонстрирует (в одном эксперименте) наличие корпускулярных и волновых свойств у электрона. Но он демонстрирует и то, что на "простой и разумный" вопрос о том, проходил ли данный электрон через левое отверстие, невозможно дать один из ответов - "да" или "нет". Более того, мы можем озаботиться специально ответом на этот вопрос и у одного отверстия (или у обоих) поставить приспособление для получения ответа "да" или "нет". Но тогда, как вытекает из квантовой механики, изменится и сама интерференционная картина. Это связано с тем, что всякая реальная попытка получить ответ на поставленный вопрос неизбежно связана с воздействием на электрон, и квантовая теория говорит, что величина этого воздействия не может быть сколь угодно мала, как это предполагает классическая физика. Иными словами, наличие экспериментатора (понимаемого и как субъект и как объект в виде экспериментальной установки) вносит во всякое квантовое явление неустранимые следы, а логика развития событий в квантовой реальности неаристотелева. Адекватность теоретического описания реальности обеспечивается формальным аппаратом, аксиоматика которого и правила действий могут быть изложены в рамках аристотелевой логики, но получаемая картина событий уже в эти рамки не помещается.
ВЗАИМОПРЕВРАЩАЕМОСТЬ ЭЛЕМЕНТАРНЫХ ЧАСТИЦ И ЛОГИКА ИХ ПОВЕДЕНИЯ.
О СООТНОШЕНИИ ЧАСТИ И ЦЕЛОГО В КВАНТОВОЙ ТЕОРИИ
Еще в 30-х годах XX века физики достаточно детально разобрались в явлении спонтанного распада свободного нейтрона. Это явление хорошо описано во всех школьных учебниках. Суть его состоит в том, что свободный нейтрон (в настоящее время наиболее распространенным источником свободных нейтронов являются ядерные реакторы) за небольшое время (в среднем 10-15 мин) самопроизвольно распадается на протон (положительно заряженная частица), электрон (имеет отрицательный электрический заряд, по величине в точности равный заряду протона) и антинейтрино (частица, не имеющая заряда и, по-видимому, не имеющая массы покоя). Этот процесс носит название бета-распада нейтрона. С точки зрения классической физики и аристотелевой логики электрон и протон следует рассматривать как составные части нейтрона, а нейтрино можно приписать роль поля, связывающего электрон и протон в нейтроне и освободившегося в момент распада. Но вот другой эксперимент. Организуем столкновение протонов высокой энергии друг с другом (это возможно в настоящее время на сверхмощных современных ускорителях). В таком столкновении возникают новые различные элементарные частицы, в том числе и нейтроны! Аналогично можно сталкивать пучки различных частиц, и в результате этих столкновений обнаруживаются все возможные элементарные частицы. Собственно, подавляющая часть известных элементарных частиц именно таким способом и была открыта. Один из выводов, к которым приводят эксперименты такого типа, состоит в том, что в столкновениях любых элементарных частиц в определенных условиях возникают (чаще употребляется термин "рождаются") любые другие элементарные частицы. Это, несомненно, свидетельствует о том, что имеется общая основа (единое поле) строения всех частиц.
Следует отметить и другой аспект этих экспериментов. Поскольку, например, в протонных столкновениях рождаются нейтроны - так что же, протон содержит в себе нейтрон?! Но ведь ранее утверждалось, что протон - часть нейтрона. Здесь уже проявляет себя логический аспект квантовой теории. Если в классической физике логика говорит нам, что целое состоит из своих частей, то в квантовой физике взаимоотношения между частью и целым могут не соответствовать канонам классической логики. Они более сложны и управляются другой логикой - квантовой. Наиболее правильным здесь было бы сказать, что благодаря наличию общей основы у всех частиц возможно взаимопревращение частиц друг в друга при определенных условиях. Именно здесь и реализуется идея Эйнштейна о том, что действительной сущностью материи является единое квантовое поле, а конкретные лики, состояния этого поля предстают перед нами в виде всего многообразия наблюдаемых частиц и полей, но логика поведения этого многообразия уже не является аристотелевой.
ПРИНЦИП ДОПОЛНИТЕЛЬНОСТИ Н. БОРА И ЛОГИКА КВАНТОВОЙ ТЕОРИИ
Принцип дополнительности был сформулирован Н. Бором в 1927 году. Непосредственным поводом к его формулировке послужило установление В. Гейзенбергом соотношений неопределенности. По существу первая редакция принципа дополнительности явилась прямым толкованием соотношений неопределенности для координат и импульсов и состояла в следующем.
Определение любой физической величины всегда связано (явно или неявно) с указанием на способ экспериментального измерения этой величины. Например, если мы характеризуем материальную точку ее координатами в заданный момент времени и принимаем классическую (ньютоновскую) картину мира с ее законами движения в форме обыкновенных дифференциальных уравнений, то мы вынуждены постулировать существование производной по времени от функции x(t). Но тогда неизбежно и существование (и возможность измерения) импульса px(t). В квантовой картине мира такое утверждение противоречиво, ибо, согласно неравенствам Гейзенберга
невозможно одновременное равенство
необходимое для существования (и измерения в момент времени t) x(t) и px(t). Тем самым в квантовой картине одновременно x(t) и px(t) не существуют. Одновременно соотношения неопределенности являются прямым доказательством неаристотелевой логики поведения квантовой частицы, ибо не существует удовлетворительных ответов (в виде "да" или "нет") на простые вопросы: находится ли частица в данном месте, имеет ли частица данный импульс (скорость)? Подробнее об этом можно узнать из статей.
Именно такова и была по существу первая формулировка принципа дополнительности Н. Бора: поскольку операторы сопряженных физических величин не коммутируют друг с другом, то смысл неравенств Гейзенберга сводится к утверждению о несуществовании одновременно данных физических величин. Если одна из таких величин определена точно, то другая величина полностью не определена, если же указан интервал разброса возможных значений одной величины, то автоматически определен возможный минимальный интервал разброса значений другой. Единая классическая картина как бы распадается на две в точном смысле несовместимые (дополнительные) картины, относящиеся к разным сторонам описания реальности.
Последовала многолетняя дискуссия Н. Бора и А. Эйнштейна, в которой идеи квантовой теории выдержали суровую проверку критически настроенного Эйнштейна. В исходной формулировке Бора логический аспект принципа дополнительности явно не присутствовал, был скрыт. Однако затем стало ясно, что принцип дополнительности допускает многообразие формулировок. Например, одну из его смысловых сторон можно выразить следующим образом: в классической теории вся материя четко разделена на вещество (частицы) и поле. Основным признаком частиц является их локализация (материальная точка в данный момент времени имеет определенные координаты). Принципиально поле локализации не допускает (возможность рассмотрения частиц как особых точек поля лишь подчеркивает несовместимость чисто корпускулярной и чисто волновой картины явлений в классической физике, живущей по законам аристотелевой логики). В квантовой теории, напротив, согласно гипотезе де Бройля и принципу дополнительности, каждое явление не только допускает, но и требует описания как на языке поля (волны), так и на языке частиц, но по отдельности описания на языке волн (поля) и на языке частиц не являются полными (дополнительными). Только совместное (по классике несовместимое!) описание, заложенное в формальном математическом аппарате квантовой теории, является полным, адекватным физической реальности.
Здесь уже ясно виден логический аспект принципа дополнительности: логически несовместимое в классике допускает совмещение в квантовой картине. Но это и означает наличие другой, неклассической логики, по которой живет квантовый (реальный!) мир.
Квантовая теория однозначно приводит к выводу о том, что Природа живет и действует по гораздо более сложной логике, чем аристотелева логика мышления человека. Сам человеческий организм как сложнейшая квантовая система живет совсем не по той логике, по которой он мыслит. Мне представляется, что открытие этого факта есть одно из самых поразительных достижений науки. Это, без сомнения, есть одно из общекультурных достояний всего человечества. В частности, это означает, что построение наглядной полной картины мира невозможно - наглядность для человека может быть реализована лишь в рамках его собственной логики мышления. Успешное построение квантовой картины мира теоретической мыслью человека свидетельствует о том, что человек в состоянии понять мир, живущий по законам другой, нечеловеческой (Божественной?) логики.
Но почему же физики до сих пор описывают микромир макроскопическими понятиями? На мой взгляд, имеются две разнородные причины. Одна - мы не умеем наблюдать микропроцессы иначе как используя макроскопические приборы (соотношения неопределенности выступают здесь как плата за использование макропонятий в микромире). Другая - никаких других логических понятий, кроме тех, что приемлет наша логика (аристотелева), нам в мышлении не дано. И только на их языке мы можем изъясняться, даже если понимаем неаристотелеву логику природы.
Автор признателен профессору Н.Б. Делоне за стимулирующие замечания по этой работе.
Рецензент статьи Н.Б. Делоне
* * *
Владислав Гавриилович Багров, доктор физико-математических наук, физик-теоретик, профессор, зав. кафедрой квантовой теории поля физического факультета Томского государственного университета. Область научных интересов - классическая и квантовая электродинамика, квантовая механика, общая теория относительности, математическая физика. Автор более 350 научных работ, в том числе двух монографий и трех учебных пособий.
Источник: Соросовский Образовательный Журнал
