Зарядка конденсатора от источника постоянной ЭДС
Зарядка конденсатора от источника постоянной ЭДС
http://www.physbook.ru/index.php/%D0%A1%D0%BB%D0%BE%D0%B1%D0%BE%D0%B4%D1%8F%D0%BD%D1%8E%D0%BA_%D0%90.%D0%98._%D0%A4%D0%B8%D0%B7%D0%B8%D0%BA%D0%B0_10/16.4
Рассмотренный в предыдущем разделе процесс зарядки конденсатора посредством перенесения заряда с одной обкладки на другую имеет исключительно теоретический интерес, как метод расчета энергии конденсатора. Реально конденсаторы заряжают, подключая их к источнику ЭДС, например, к гальванической батарее.
Пусть конденсатор емкостью C подключен к источнику, ЭДС которого равна
e (Рис. 145). Полное электрическое сопротивление цепи (включающее и
внутренне сопротивление источника) обозначим R. При замыкании ключа в
цепи пойдет электрический ток, благодаря которому на обкладках конденсатора будет
накапливаться электрический заряд. По закону Ома сумма напряжений на
конденсаторе
и резисторе UR = IR равна ЭДС
источника
, что приводит к
уравнению
. (1)В этом уравнении заряд конденсатора и сила тока зависят от времени. Скорость
изменения заряда конденсатора по определению равна силе тока в цепи
, что позволяет
получить уравнение, описывающее изменение заряда конденсатора с течением времени
. (2)Можно также получить уравнение, непосредственно описывающее изменение силы тока в цепи с течением времени. Для этого на основании уравнения (1) запишем уравнения для малых изменений входящих величин
.Формально эту операцию можно описать следующим образом: уравнение (1) следует записать для двух моментов времени t и (t + Delta t), а затем из второго уравнения вычесть первое. Так как ЭДС источника постоянна, то ее изменение равно нулю Delta e = 0, сопротивление цепи и емкость конденсатора постоянны, поэтому их можно вынести из под знака изменения Delta, поэтому полученное уравнение приобретает вид
.Наконец разделим его на промежуток времени, в течение которого произошли эти изменения, в результате получаем искомое уравнение (с учетом связи между силой тока и изменения заряда)
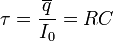
. (3)Математический смысл этого уравнения указывает, что скорость уменьшения тока пропорциональна самой силе тока. Для однозначного решения этого уравнения необходимо задать начальное условие – значение силы тока в начальный момент времени I0 = I(0).
С уравнениями такого типа мы познакомились в «математическом
отступлении», поэтому здесь его анализ проведем кратко. В начальный момент
времени, когда заряд конденсатора равен нулю, скорость возрастания заряда (то
есть сила тока) максимальна и равна
. Затем по мере
накопления заряда сила тока будет уменьшаться, когда напряжение на конденсаторе
станет равным ЭДС источника, заряд конденсатора достигнет максимального
стационарного значения
и ток в цепи
прекратится.
Схематически зависимости заряда конденсатора и силы тока в цепи от времени показаны на рис. 146. Для оценки времени зарядки конденсатора можно принять, что заряд возрастает до максимального значения с постоянной скоростью, равной силе тока в начальный момент времени. В этом случае
. (4)Аналогичная оценка исчезновения тока, полученная на основании уравнения (3) приводит к этому же результату.
Строго говоря, время зарядки конденсатора, описываемой уравнением (2) равно бесконечности. Это парадокс можно исключить, если принять во внимание дискретность электрического заряда. Кроме того, заряд конденсатора, подключенного к батарее с течением времени случайным образом изменяется, флуктуирует, поэтому рассматриваемое уравнение описывает некоторые усредненные характеристики процесса. Тем не менее, полученная оценка времени RC широко применяется в приближенных расчетах, часто ее называют просто временем зарядки конденсатора.
Рассмотрим теперь превращения различных форм энергии в данном процессе.
Понятно, что причиной тока в цепи и как следствие зарядки конденсатора являются
сторонние силы источника. На первый взгляд, энергетический баланс включает
определенное противоречие: если источник сообщил конденсатору заряд q, то
сторонние силы совершили при этом работу A0 = qe , при
этом энергия конденсатора стала равной
, что в два раза
меньше работы совершенной источником. Противоречие исчезает, если принять во
внимание, что в процессе зарядки по цепи течет электрический ток, поэтому на
резисторе выделяется некоторое количество теплоты, то есть часть энергии
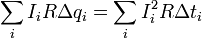
источника переходит в тепловую. Мысленно разобьем время зарядки на малые
промежутки Delta ti (i = 1,2,3...). Перепишем уравнение (1)
в виде
, (5)и умножим его на величину малой порции заряда, переносимого за малый промежуток времени Delta ti, Delta qi = Ii Delta ti . В результате получим
. (6)Здесь обозначено qi - заряд конденсатора перед перенесением рассматриваемой порции заряда. Каждый член полученного уравнения имеет явный физический смысл:
- работа
сторонних сил по перемещению порции заряда ?qi;
- увеличение
энергии конденсатора при увеличении его заряда на Delta qi;
- количество
теплоты, выделившееся на резисторе, при протекании
порции заряда Delta qi.
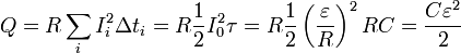
Таким образом, закон сохранения энергии, выражаемый уравнением баланса (6) для малого промежутка времени оказывается выполненным, следовательно, он будет выполнен и для всего процесса зарядки. Просуммируем выражение (5) по всем промежуткам времени зарядки, в результате чего получим:
- полная работа
сторонних сил по перенесению электрического заряда, равного стационарному
заряду конденсатора;
- энергия
заряженного конденсатора; - наконец,
- количество
выделившейся на резисторе теплоты.
Принимая во внимание уравнение (3) и формулы из «математического отступления», последнюю сумму можно выразить в виде
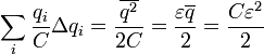
. (6)Эта сумма же может быть вычислена графически. Формула (1) задает зависимость
напряжения на резисторе UR =
IR от заряда конденсатора. Эта зависимость линейна, ее
график (Рис. 147) является отрезком прямой линии. За малый промежуток времени
через резистор протечет малый заряд Delta qi, при этом выделится
количество теплоты
, которое численно
равно площади узкой полоски, выделенной на рисунке. Полное количество теплоты,
выделившейся при прохождении всего заряда численно равно площади треугольника
под графиком зависимости UR(q), то есть
. (7)Таким образом, энергетический баланс полностью сходится и для всего процесса целиком: работа, совершенная источником равна сумме энергии конденсатора и количества выделившейся теплоты A = WC + Q. Схематически преобразование энергии в этом процессе показано на рис. 148.
Интересно заметить, что количество теплоты, выделяющееся при зарядке, не зависит о сопротивления цепи и в точности равно энергии конденсатора. То есть, половина энергии источника переходит в энергию электрического поля, а вторая в тепловую энергию, выделяющуюся в цепи: природа требует своеобразный пятидесятипроцентный налог в виде тепловых потерь, не зависимо от сопротивления цепи и емкости конденсатора[1].
Примечания
- ^ Но эти параметры цепи определяют время процесса.




