Самостоятельное изучение схемотехники. Основные понятия. Часть 1 / Хабр
Изучение цифровой схемотехники нужно начинать с теории автоматов. В этой статье можно найти некоторые элементарные вещи, которые помогут не потеряться в дальнейших статьях. Я постарался сделать...
http://habr.com/ru/post/91922/%20%20https:/habr.com/ru/post/91968/
Изучение цифровой схемотехники нужно начинать с теории автоматов. В этой статье можно найти некоторые элементарные вещи, которые помогут не потеряться в дальнейших статьях. Я постарался сделать статью легкочитабельной и уверен, что неподготовленный читатель сможет в ней легко разобраться.

Сигнал — материальный носитель информации, используемый для передачи сообщений по системе связи. Сигнал, в отличие от сообщения, может генерироваться, но его приём не обязателен (сообщение должно быть принято принимающей стороной, иначе оно не является сообщением, а всего лишь сигналом).
В статье рассматривается цифровой дискретный сигнал. Это такой сигнал, который имеет несколько уровней. Очевидно, что двоичный сигнал имеет два уровня — и их принимают за 0 и 1. Когда высокий уровень обозначается единицей, а низкий нулем — такая логика называется позитивной, иначе негативной.
Цифровой сигнал можно представить в виде временной диаграммы.

В природе дискретных сигналов не существует, по этому их заменяют аналоговыми. Аналоговый сигнал не может перейти из 0 в 1 мгновенно, по этому такой сигнал обладает фронтом и срезом.
Если рисовать упрощенно то это выглядит так:

1 — низкий уровень сигнала, 2 — высокий уровень сигнала, 3 — нарастание сигнала (фронт), 4 — спад сигнала (срез)
Сигналы можно преобразовывать. Для этого на практике используются логические элементы, а чтобы это записать формально используются логические функции. Вот основные:
Отрицание — инвертирует сигнал.
На схемах обозначается так:

Логическое ИЛИ (логическое сложение, дизъюнкция)

На схеме:

Логическое И (логическое умножение, конъюнкция)

На схеме:

Последние два могут иметь отрицание на выходе (И-НЕ, ИЛИ-НЕ). Значения их логических функций инвертируются, а на схеме выход рисуется кружочком.


Сводная таблица логических функций двух аргументов выглядит так:

Работа с логическими функциями основывается на законах алгебры логики, основы которых изложены в прикрепленном файле. Так же там есть задания для самоконтроля и контрольные вопросы по теме.
Логической схемой называется совокупность логических электронных элементов, соединенных между собой таким образом, чтобы выполнялся заданный закон функционирования схемы, иначе говоря, — выполнялась заданная логическая функция.
По зависимости выходного сигнала от входного все электронные логические схемы можно условно разбить на:
Схемы первого рода, т.е. комбинационные схемы, выходной сигнал которых зависит только от состояния входных сигналов в каждый момент времени;
Схемы второго рода или накапливающие схемы (схемы последовательностные), содержащие накапливающие схемы (элементы с памятью), выходной сигнал которых зависит как от входных сигналов, так и от состояния схемы в предыдущие моменты времени.
По количеству входов и выходов схемы бывают: с одним входом и одним выходом, с несколькими входами и одним выходом, с одним входом и несколькими выходами, с несколькими входами и выходами.
По способу осуществления синхронизации схемы бывают с внешней синхронизацией (синхронные автоматы), с внутренней синхронизацией (асинхронные автоматы являются их частным случаем).
Практически любой компьютер состоит из комбинации схем первого и второго рода разной сложности. Таким образом, основой любого цифрового автомата, обрабатывающего цифровую информацию, являются электронные элементы двух типов: логические или комбинационные и запоминающие. Логические элементы выполняют простейшие логические операции над цифровой информацией, а запоминающие служат для ее хранения. Как известно, логическая операция состоит в преобразовании по определенным правилам входной цифровой информации в выходную.
Можно считать, что элементарные логические функции являются логическими операторами упомянутых электронных элементов, т.е. схем. Каждая такая схема обозначается определенным графическим символом. (Они были представлены выше — Элементы И, ИЛИ, НЕ, ИЛИ-НЕ, И-НЕ)
В качестве примера ниже представлена схема электрическая функциональная логического преобразователя (комбинационного автомата), реализующего логическую функцию
в элементном базисе из логических элементов И, ИЛИ, НЕ.

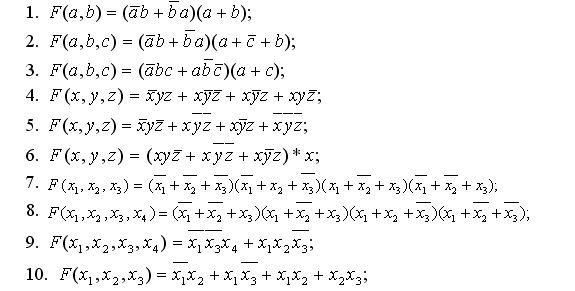
Для закрепления предлагаю, самостоятельно синтезировать логическую схему, реализующую следующие логические функции:

Сделать это можно к примеру в Electronic workbench.
Вот для примера первое выполненное задание:

И файл ewb 5.12.
Hint: Для того чтобы включить условные обозначения в соответствии с отечественными ГОСТ-ами в файл настроек EWB.INI нужно добавить строку DIN = ON
На этом первая часть статьи заканчивается. Надеюсь, что она была не слишком утомительной. Все вышеописанное необходимо для понимания принципов работы с сигналами в электрических схемах. В следующей статье будут рассмотрены способы минимизации логических функций, понятие абстрактного автомата и пример синтеза RS-триггера.

Сигнал — материальный носитель информации, используемый для передачи сообщений по системе связи. Сигнал, в отличие от сообщения, может генерироваться, но его приём не обязателен (сообщение должно быть принято принимающей стороной, иначе оно не является сообщением, а всего лишь сигналом).
В статье рассматривается цифровой дискретный сигнал. Это такой сигнал, который имеет несколько уровней. Очевидно, что двоичный сигнал имеет два уровня — и их принимают за 0 и 1. Когда высокий уровень обозначается единицей, а низкий нулем — такая логика называется позитивной, иначе негативной.
Цифровой сигнал можно представить в виде временной диаграммы.

В природе дискретных сигналов не существует, по этому их заменяют аналоговыми. Аналоговый сигнал не может перейти из 0 в 1 мгновенно, по этому такой сигнал обладает фронтом и срезом.
Если рисовать упрощенно то это выглядит так:

1 — низкий уровень сигнала, 2 — высокий уровень сигнала, 3 — нарастание сигнала (фронт), 4 — спад сигнала (срез)
Сигналы можно преобразовывать. Для этого на практике используются логические элементы, а чтобы это записать формально используются логические функции. Вот основные:
Отрицание — инвертирует сигнал.
На схемах обозначается так:

Логическое ИЛИ (логическое сложение, дизъюнкция)

На схеме:

Логическое И (логическое умножение, конъюнкция)

На схеме:

Последние два могут иметь отрицание на выходе (И-НЕ, ИЛИ-НЕ). Значения их логических функций инвертируются, а на схеме выход рисуется кружочком.


Сводная таблица логических функций двух аргументов выглядит так:

Работа с логическими функциями основывается на законах алгебры логики, основы которых изложены в прикрепленном файле. Так же там есть задания для самоконтроля и контрольные вопросы по теме.
Проектирование логических схем с помощью функций алгебры логики
Логической схемой называется совокупность логических электронных элементов, соединенных между собой таким образом, чтобы выполнялся заданный закон функционирования схемы, иначе говоря, — выполнялась заданная логическая функция.
По зависимости выходного сигнала от входного все электронные логические схемы можно условно разбить на:
Схемы первого рода, т.е. комбинационные схемы, выходной сигнал которых зависит только от состояния входных сигналов в каждый момент времени;
Схемы второго рода или накапливающие схемы (схемы последовательностные), содержащие накапливающие схемы (элементы с памятью), выходной сигнал которых зависит как от входных сигналов, так и от состояния схемы в предыдущие моменты времени.
По количеству входов и выходов схемы бывают: с одним входом и одним выходом, с несколькими входами и одним выходом, с одним входом и несколькими выходами, с несколькими входами и выходами.
По способу осуществления синхронизации схемы бывают с внешней синхронизацией (синхронные автоматы), с внутренней синхронизацией (асинхронные автоматы являются их частным случаем).
Практически любой компьютер состоит из комбинации схем первого и второго рода разной сложности. Таким образом, основой любого цифрового автомата, обрабатывающего цифровую информацию, являются электронные элементы двух типов: логические или комбинационные и запоминающие. Логические элементы выполняют простейшие логические операции над цифровой информацией, а запоминающие служат для ее хранения. Как известно, логическая операция состоит в преобразовании по определенным правилам входной цифровой информации в выходную.
Можно считать, что элементарные логические функции являются логическими операторами упомянутых электронных элементов, т.е. схем. Каждая такая схема обозначается определенным графическим символом. (Они были представлены выше — Элементы И, ИЛИ, НЕ, ИЛИ-НЕ, И-НЕ)
В качестве примера ниже представлена схема электрическая функциональная логического преобразователя (комбинационного автомата), реализующего логическую функцию
в элементном базисе из логических элементов И, ИЛИ, НЕ. 
Для закрепления предлагаю, самостоятельно синтезировать логическую схему, реализующую следующие логические функции:

Сделать это можно к примеру в Electronic workbench.
Вот для примера первое выполненное задание:

И файл ewb 5.12.
Hint: Для того чтобы включить условные обозначения в соответствии с отечественными ГОСТ-ами в файл настроек EWB.INI нужно добавить строку DIN = ON
На этом первая часть статьи заканчивается. Надеюсь, что она была не слишком утомительной. Все вышеописанное необходимо для понимания принципов работы с сигналами в электрических схемах. В следующей статье будут рассмотрены способы минимизации логических функций, понятие абстрактного автомата и пример синтеза RS-триггера.
